EBOOK
  • Dmca
  • Contact
  • Privacy Policy
  • Copyright

Crude Oil Mandate Letter Sample Pdf

Opportunities For Agri Food Chains To Become Energy Smart

Opportunities For Agri Food Chains To Become Energy Smart

Oil And Gas Trade Documents And Transaction Procedures Oilandgas

Oil And Gas Trade Documents And Transaction Procedures Oilandgas

Lukoil Frequently Asked Questions

Lukoil Frequently Asked Questions

Pdf Beyond Profit Rethinking Corporate Social Responsibility And

Pdf Beyond Profit Rethinking Corporate Social Responsibility And

Pdf An Assessment Of Local Content Policies In Oil And Gas

Pdf An Assessment Of Local Content Policies In Oil And Gas

Mc Leonard Full Corporate Offer
Letter Of Intent Loi Template All The Key Terms Included In An Loi
Letter Of Authorization To Negotiate Template By Business In A Box
Pdf An Assessment Of Local Content Policies In Oil And Gas
Https Oxfamilibrary Openrepository Com Bitstream Handle 10546 620595 Bp Examining The Crude Details 131118 En Pdf
Mandate Contract Of Legal Representation Client And Lawyer Ju Dr Kl C
Broker Agreement Sample Template Word Pdf
Pdf A Conceptual Model For Local Content Development In Petroleum
Https Oxfamilibrary Openrepository Com Bitstream Handle 10546 620595 Bp Examining The Crude Details 131118 En Pdf
Https Encrypted Tbn0 Gstatic Com Images Q Tbn 3aand9gcqjoyiz7 Pfmvyowxgn4rroynsk Kyyzfmw Vmhtm 3kvaoqlur Usqp Cau
Https Www Securitycouncilreport Org Atf Cf 7b65bfcf9b 6d27 4e9c 8cd3 Cf6e4ff96ff9 7d S 2019 914 Pdf
Pdf The Independence Of Demand Guarantees Performance Bonds And
Crude Oil Mandate Letter Sample Read Download Books
Cer Optimizing Oil Pipeline And Rail Capacity Out Of Western
Https Encrypted Tbn0 Gstatic Com Images Q Tbn 3aand9gcqs8tvupub34ifdyzzh0jnlzlvgtfknt87ss560wfxluvks09io Usqp Cau
Mandate Contract Of Legal Representation Client And Lawyer Ju Dr Kl C
Https Www Rosneft Com Upload Site2 Document File Beware 09082019 1en Pdf
Sulphur 2020 Cutting Sulphur Oxide Emissions
Pdf A Risk Management Framework For Downstream Petroleum Product
Pdf Sustainability Of Oil Palm Plantations In Malaysia
Pdf Analysis Of Palm Oil Based Biodiesel In Indonesia Using
Https Www Cbp Gov Sites Default Files Documents Importing 20into 20the 20u S Pdf
Mandate For Palestine Wikipedia
Module 1 Additional Information About Fuels And Supply Ontario Ca
Global Crude Oil Market Shocks And Global Commodity Prices
Non Insured Health Benefits Drug Benefit List
Pdf Towards Sustainable Local Content Development In The Nigerian
Examples Of Fake Contracts
Gender Dimensions Of Artisanal And Small Scale Mining
Https Oxfamilibrary Openrepository Com Bitstream Handle 10546 620595 Bp Examining The Crude Details 131118 En Pdf
Module 1 Additional Information About Fuels And Supply Ontario Ca
The Case For Public Ownership Of The Fossil Fuel Industry
Departmental Plan 2020 21 Natural Resources Canada
The Case For Public Ownership Of The Fossil Fuel Industry
Pdf Format Baldwin Trust Group
Https Oxfamilibrary Openrepository Com Bitstream Handle 10546 620595 Bp Examining The Crude Details 131118 En Pdf
Oil Gas Regulation 2020 Canada Iclg
Module 1 Additional Information About Fuels And Supply Ontario Ca
Mandate Contract Of Legal Representation Client And Lawyer Ju Dr Kl C
Pdf Unitizing Oil And Gas Fields Around The World A Comparative
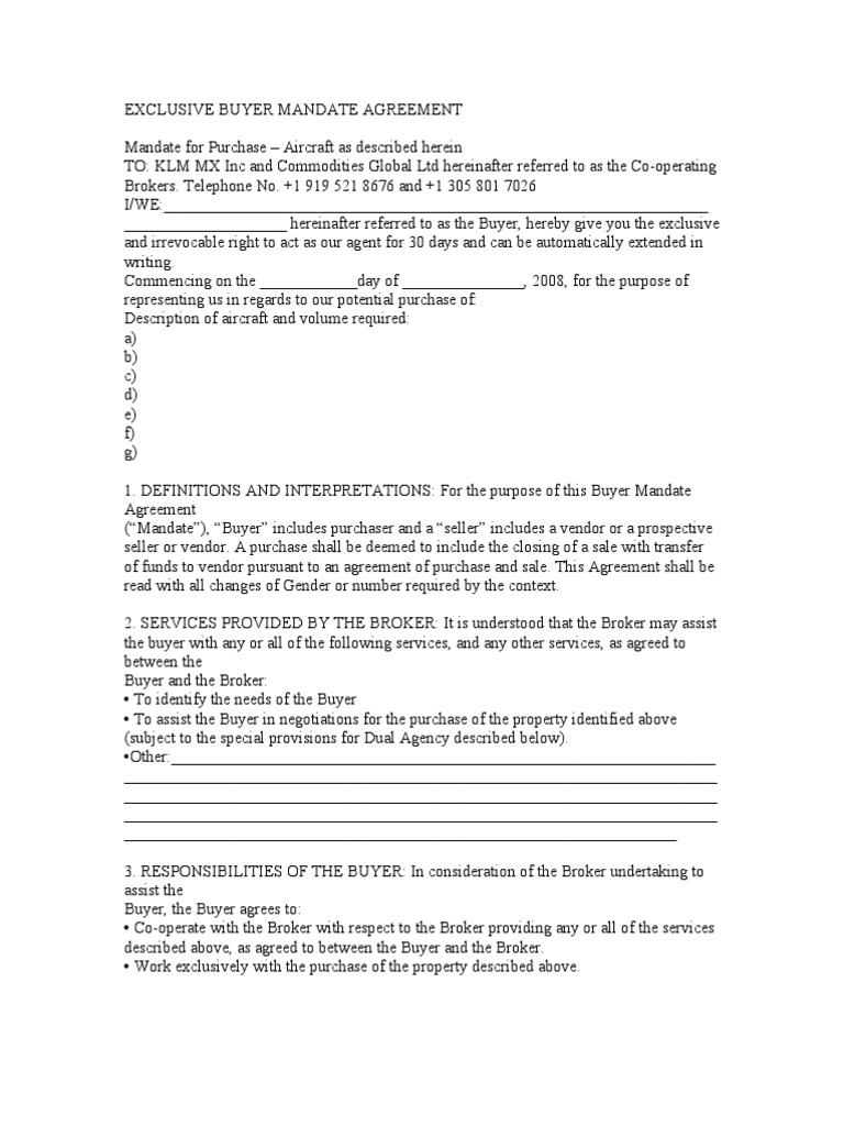
Exclusive Buyer Mandate Agreement Real Estate Broker Business Law
8kabwkz9tazppm
Buyers Mandate Petroleum Contract Breach Of Contract Civil
Pdf Characterizing Commercial Oil Palm Expansion In Latin America
Https Oxfamilibrary Openrepository Com Bitstream Handle 10546 620595 Bp Examining The Crude Details 131118 En Pdf
Letter Of Authorization To Negotiate Template By Business In A Box
Application Letter Format Sample Hindi Valid Hindi Informal Letter
Module 1 Additional Information About Fuels And Supply Ontario Ca
Buyers Mandate Petroleum Contract Breach Of Contract Civil
Proposal For Financial Joint Venture Partner
Https Encrypted Tbn0 Gstatic Com Images Q Tbn 3aand9gcttznxsbqj7cirz4 0ijazfkphubvgq3rz05jotsts Usqp Cau
Http Petroleum Nic In Sites Default Files Expertcomm 0 Pdf
The Customer Mandate To Digitize Debt Collection Strategies Mckinsey
Pdf Sustainability Of Oil Palm Plantations In Malaysia
Https Www Sustainable Performance Total Com En Registration Document 2018
Https Www Equinor Com Content Dam Statoil Documents Annual Reports 2018 Equinor 2018 Annual Report Pdf
Sample Mandate Letter Arbitral Tribunal Arbitration
Printmgr File
Global Crude Oil Market Shocks And Global Commodity Prices
Module 1 Additional Information About Fuels And Supply Ontario Ca
Conflict In The Niger Delta Wikipedia
Https Www Dnrme Qld Gov Au Data Assets Pdf File 0012 299856 Australasian Convenience Petroleum Marketers Assoc Biofuel Submission Pdf
European Union
Letter Of Authorization To Negotiate Template By Business In A Box
Cer Optimizing Oil Pipeline And Rail Capacity Out Of Western
Introduction To Oil And Gas Industry Oil Gas Iq
Https Oxfamilibrary Openrepository Com Bitstream Handle 10546 620595 Bp Examining The Crude Details 131118 En Pdf
Http Www Russneft Ru I Editor Upload Files At 03 Pdf
Resignation Letter Format With Full And Final Settlement And
Https Www Rosneft Com Upload Site2 Document File Beware 09082019 1en Pdf
Global Crude Oil Market Shocks And Global Commodity Prices
Https Oxfamilibrary Openrepository Com Bitstream Handle 10546 620595 Bp Examining The Crude Details 131118 En Pdf
The Strategic Petroleum Reserve An Underappreciated National
Https Oxfamilibrary Openrepository Com Bitstream Handle 10546 620595 Bp Examining The Crude Details 131118 En Pdf
Letter Of Intent Wikipedia
Letter Of Authorization To Negotiate Template By Business In A Box
Letter Of Intent Wikipedia
Https Www Ril Com Downloadfiles Corporateannouncements Ar 14981 Reliance 2018 2019 19072019205801 Pdf
Examining The Crude Details Government Audits Of Oil Gas
Sample Mandate Letter Arbitral Tribunal Arbitration
Deforestation Risks Posed By Oil Palm Expansion In The Peruvian
Https Www Securitycouncilreport Org Atf Cf 7b65bfcf9b 6d27 4e9c 8cd3 Cf6e4ff96ff9 7d S 2019 914 Pdf
Study On Economic Costs Of Natural Gas For Myanmar Domestic Market
Legislative Summary For Bill C 48
Https Oxfamilibrary Openrepository Com Bitstream Handle 10546 620595 Bp Examining The Crude Details 131118 En Pdf
Mandate Form For E Payment Pdf Fill Online Printable Fillable
Global Crude Oil Market Shocks And Global Commodity Prices
Frontiers Ocean Ecosystem Based Management Mandates And
Pdf Analysis Of Palm Oil Based Biodiesel In Indonesia Using
Rod Rosenstein S Letter Appointing Mueller Special Counsel The
Pdf Diplomatic Correspondence Pdf Yasin Yaylar Academia Edu
1
The Customer Mandate To Digitize Debt Collection Strategies Mckinsey
Https Oxfamilibrary Openrepository Com Bitstream Handle 10546 620595 Bp Examining The Crude Details 131118 En Pdf
Report Of The Monitoring Group On Somalia And Eritrea Pursuant To
Book Reveals Chris Watts S Letter Confessing How He Killed His
Sustainability Free Full Text Linking Between Renewable Energy
Memorandum Of Understanding Free Mou Template Pdf Formswift
Performance Report On The 2015 Budget Statement And Economic

Random Posts

  • Disability And New Media Routledge Studies In New Pdf
  • Essentials Of Psychiatric Mental Health Nursing Townsend Test Bank Pdf
  • Cessna 404 Poh Pdf
  • Jobboss For Dummies Pdf
  • Ford Festiva Repair Manual Pdf
  • Biology Mcgraw Hill Ryerson Answer Key Pdf
  • Full Version Kawasaki Bayou 220 Manual Pdf
  • Understanding Chinese Society Pdf
  • Seven Modes Of Uncertainty Pdf
  • Song Of The Pearl Pdf
Dmca Contact Privacy Policy Copyright

Download Or Reading Online Song Of The Pearl Pdf Here